• Предмет: Математика
  • Автор: Baaadik661
  • Вопрос задан 2 года назад

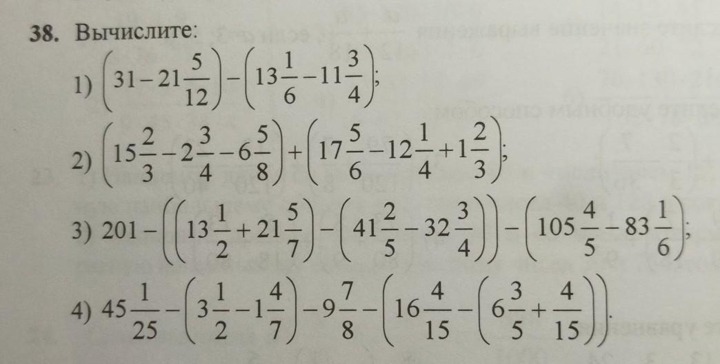
помогите пожалуйста разобраться в решении​

Приложения:

Ответы

Ответ дал: mikotoushiha5
0

Ответ:

Я сделаю только первое и чательно объясню.

(31-21 5/12)-(13 1/6 - 11 3/4) = 9 7/12 - 1 16/24=решите вы, пожалуйста.

Пошаговое объяснение:

Если у нас не получаетьсч отнять мы у целой части берём 1 число и нас становится 30 12/12 мы решаем, а во второй скобке у нас разные знаменатели и теперь нам надо найти число которое можно разделить и 6, и 4 без остатка. Это 24, сколько нам не встаёт до 24?В первой дроби 6, а во второй. Надеюсь понятно

Вас заинтересует