Помогите, пожалуйста! Системи двох рівнянь другого степеня з двома змінними.
Розв'яжіть способом підстановки систему рівнянь:
Приложения:

Ответы
Ответ дал:
1
Ответ:
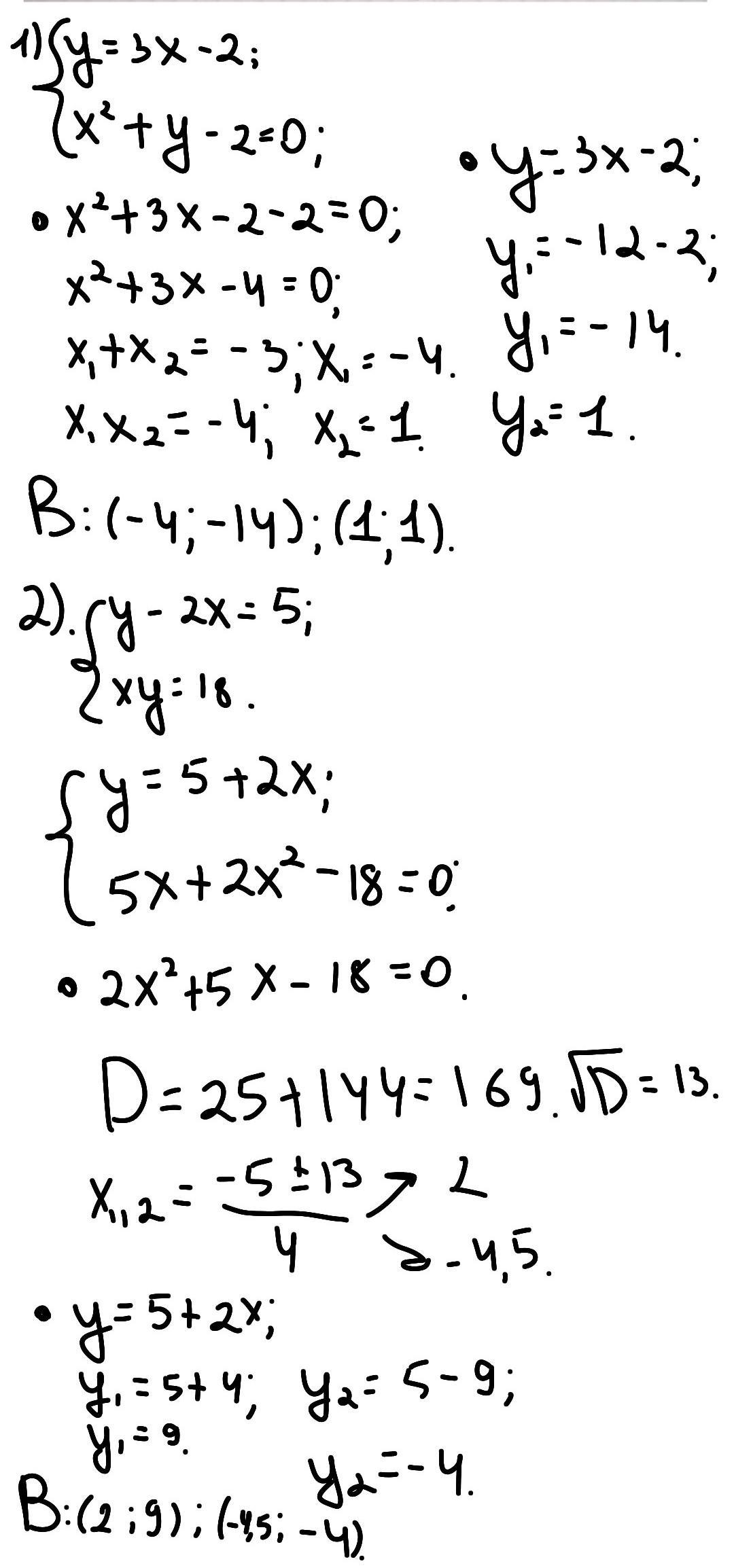
Відповідь на малюнку.................
Приложения:

Вас заинтересует
1 год назад
1 год назад
1 год назад
1 год назад
3 года назад
8 лет назад