• Предмет: Физика
  • Автор: fostikandriy2007
  • Вопрос задан 2 года назад

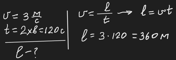
Тіло рухається рівномірно і прямолінійно зі швидкістю 3м/с. Який шлях пройде це тіло за 2хв: с обьяснением пж

Ответы

Ответ дал: zybkov1950
1

Відповідь: 360 м

Пояснення:

Приложения:
Вас заинтересует