Ответы
Ответ дал:
0
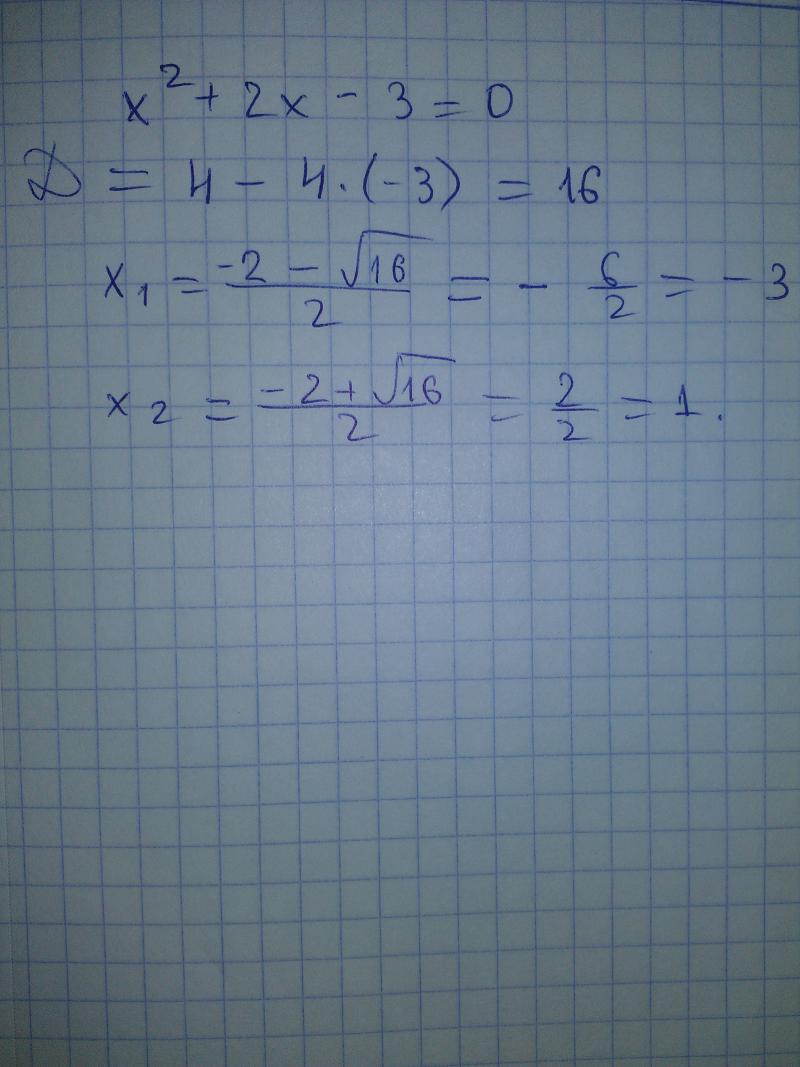
Х^2+2х-3=0
D=4+12=16
x12=(-2+-4)/2=-3 1
(x+3)(x-1)=0
x=1
x=-3
D=4+12=16
x12=(-2+-4)/2=-3 1
(x+3)(x-1)=0
x=1
x=-3
Ответ дал:
0
Ты уверен что это правильно
Ответ дал:
0
да как бы это сказать ..... проверить надо .... сам проверишь или мне проверить?
Ответ дал:
0
....................................................
Приложения:

Вас заинтересует
2 года назад
2 года назад
8 лет назад
10 лет назад
10 лет назад
10 лет назад