Ответы
Ответ дал:
1
Ответ:
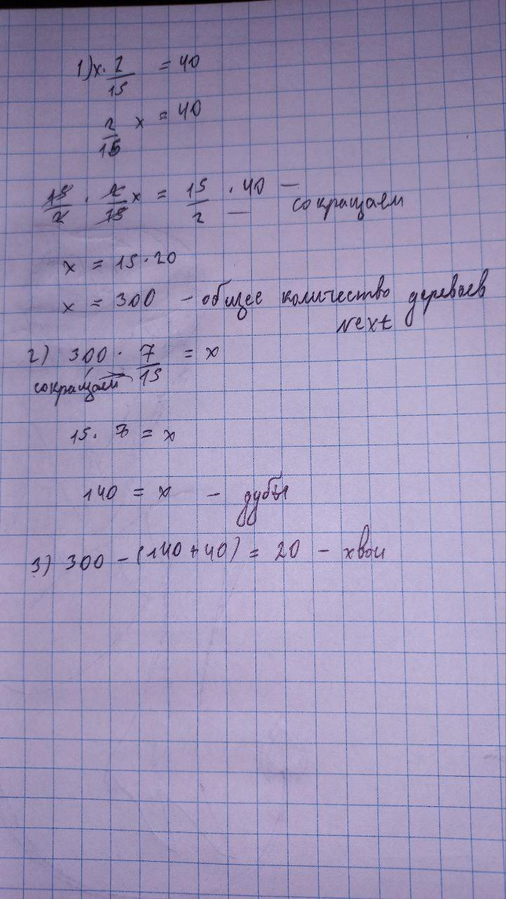
20 дерев хвої
Объяснение: не помню уже название принципа решения уравнений, но решение в теории верное
Приложения:

GifeorCurse1315:
я ошибся, 120 (затупился) ибо в дробовом соотношении 6/15 состовляют хвойные деревья
Вас заинтересует
1 год назад
1 год назад
1 год назад
3 года назад