• Предмет: Математика
  • Автор: bg306604
  • Вопрос задан 2 года назад

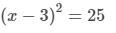
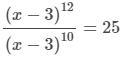
((х - 3)^3)^4 / ((х - 3)^6 · (х - 3)^4) = 25
помогите срочно, даю 100 баллов!!!!

Ответы

Ответ дал: abob334
1

Ответ:

x=8,−2

подробное решение в скриншотах

Приложения:
Вас заинтересует