Упражнение 1. Справедлив ли закон сообщающихся сосудов в усло- виях невесомости? 2. Ширина шлюза 10 м. Шлюз заполнен на глубину 5 м. С какой силой давит вода на ворота шлюза? 3. В сообщающиеся сосуды налиты ртуть, вода и керосин. Какова высота слоя керосина, если высота столба воды -20 см и в правом колене уровень ртути ниже, чем в левом на 5 мм
можете написать полный ответ пожалуйста
Ответы
Ответ дал:
4
Ответ:
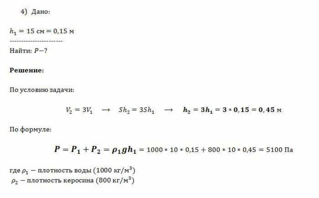
ответ на рисунке..........................
Объяснение:
:>
Приложения:


kachanovaalya:
так это же не то..
Вас заинтересует
1 год назад
1 год назад
1 год назад
1 год назад
3 года назад
8 лет назад
8 лет назад