• Предмет: Математика
  • Автор: SeverS1de
  • Вопрос задан 2 года назад

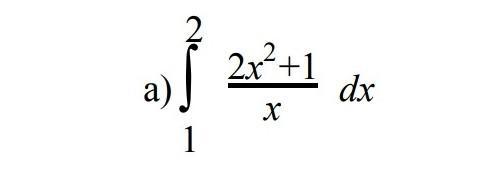
Обчислити інтеграл:

Приложения:

Ответы

Ответ дал: natalyabryukhova
2

Ответ:

\displaystyle      \int\limits^2_1 {\frac{2x^2+1}{x} } \, dx=3+ln2

Пошаговое объяснение:

Вычислить интеграл:

\displaystyle \bf     \int\limits^2_1 {\frac{2x^2+1}{x} } \, dx

Преобразуем подинтегральную функцию:

\displaystyle      \int\limits^2_1 {\frac{2x^2+1}{x} } \, dx= \int\limits^2_1 {\left(\frac{2x^2}{x} +\frac{1}{x}\right) } \, dx= \int\limits^2_1 {\left(2x+\frac{1}{x}\right) } \, dx

Используем формулы:

\boxed {\displaystyle \bf     \int\limits {x^n} \, dx =\frac{x^{n+1}}{n+1}+C;\;\;\;\;\;\int\limits {\frac{dx}{x} }=ln\;x+C   }

\displaystyle         \int\limits^2_1 {\left(2x+\frac{1}{x}\right) }  dx=\left(2\cdot \frac{x^2}{2} +ln{x}\right) \bigg|^2_1=(x^2+lnx)\big|^2_1=\\\\(2^2+ln2)-(1+ln1)=4+ln2-1-0=3+ln2

Вас заинтересует