• Предмет: Физика
  • Автор: Ariana4643
  • Вопрос задан 2 года назад

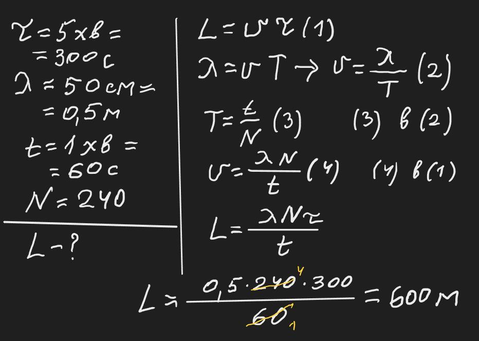
Помітили, що хвиля дійшла до берега за 5 хв. Відстань між сусідніми гребенями хвилі
50 см. За 1 хв хвилі здiйснили 240 сплесків об берег. На якій відстані від берега помітили хвилю?

Ответы

Ответ дал: zybkov1950
4

Відповідь: 600 м

Пояснення:

Приложения:

yspishna2007: Ви б могли допомогти мені з фізикою?
yspishna2007: Мені потрібно завтра здати лабораторну
yspishna2007: мені дуже потрібна ваша допомога
yspishna2007: я буду дуже вдячна
Вас заинтересует