• Предмет: Алгебра
  • Автор: vikusyakukusya8
  • Вопрос задан 2 года назад

ПОМОГИТЕ ПОЖАЛУЙСТА СРОЧНО задание на фото ​

Приложения:

Ответы

Ответ дал: svetlanavaslarionova
0

Ответ:

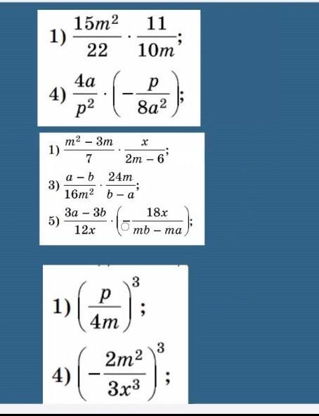
1)15m²/22•11/10m=3m/4

4)4a/p²•(-p/8a²)=-1/2ap

1)(m²-3m)/7•x/(2m-6)=m(m-3)•x/7•2(m-3)=mx/14

3)(a-b)/16m²•24m/(b-a)=-2/3m

5)(3a-3b)/12x•(-18x/(mb-ma)=3(a-b)/12x•18x/m(a-b)=9/m

1)(p/4m)³=p³/64m³

4)(-2m²/3x³)³=-8m^6/27x^9


vikusyakukusya8: мне надо имено расписать все
Вас заинтересует