• Предмет: Математика
  • Автор: paligaingretta
  • Вопрос задан 2 года назад

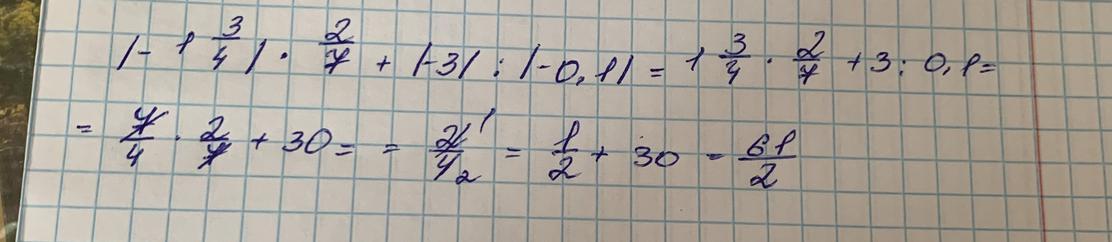
|- 1 3/4|× 2/7 +|- 3|÷|-0,1|
Пожалуйста помогите

Ответы

Ответ дал: Kormash
0
Ответ на фотке снизу:
Приложения:
Вас заинтересует