• Предмет: Математика
  • Автор: stylex63
  • Вопрос задан 2 года назад

Срочноооо, помогите пожалуйста

Приложения:

Ответы

Ответ дал: leprekon882
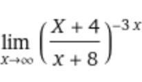
1

Применим второй замечательный предел

\displaystyle  \lim_{x \to \infty}\left(\dfrac{x+4}{x+8}\right)^{-3x}=\lim_{x \to \infty}\left(1-\dfrac{4}{x+8}\right)^{3x\cdot (\frac{4}{x+8})\cdot (-\frac{x+8}{4})}=e^{\lim_{x \to \infty}\frac{12x}{x+8}}=e^{12}

Вас заинтересует