• Предмет: Алгебра
  • Автор: tasamaya605
  • Вопрос задан 2 года назад

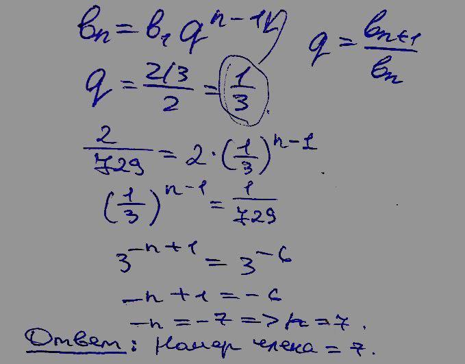
В геометрической прогрессии 2; 2/3;... номер члена равного 2/729. Пожалуйста, решите​

Ответы

Ответ дал: yevheniiavz
1

...........................................

Приложения:

tasamaya605: Спасибо большое))
Вас заинтересует