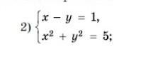
Решить методом подстановки, с объяснением, пожалуйста помогите, нужно сдать сегодня, то есть через час..
Приложения:

Ответы
Ответ дал:
0
Выражаем х через у:
х=у+1
Подставляем во второе уравнение:
(у+1)² + у²=5
у²+2у+1+ у²=5
2у²+2у-4=0
у²+у-2=0
D=1²-4*1*(-2)=1+8=9
✓D=3
y1=(-1+3)/2= 2/2=1
у2=(-1-3)/2= -4/2=-2
Подставляем в полученные варианты у первое уравнение:
х1=у1+1=1+1=2
х2=у2+1=-2+1=-1
Вас заинтересует
1 год назад
3 года назад
3 года назад
8 лет назад
8 лет назад