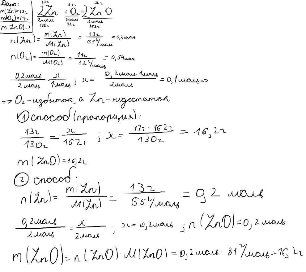
У результаті взаємодії цинку Zn масою 13 г із киснем масою 17г утворився цинк оксид. Обчисліть, яка маса ц оксиду утворилась в результаті реакції.
ПОЖАЛУЙСТА ПОМОГИТЕ ОЧЕНЬ СРОЧНООО!!!!!!
Ответы
Ответ дал:
5
Расчет всегда ведем по недостатку. Представил 2 решения, выбирай удобное тебе. Удачи!!!!
Приложения:

irinalarionova3333:
большое спасибо!!!
Вас заинтересует
1 год назад
3 года назад
3 года назад
8 лет назад