• Предмет: Алгебра
  • Автор: 210211jwpranik
  • Вопрос задан 2 года назад

Розкладіть на множники:

1) 5а²- 5b²
2) 63ad²-7а
3) 16a³-2
4) 125m + m⁴
5) 7ab+21a-7b-21
6) -3mn-9m-18n-54
7) p²(m - 3) - 2p(m - 3) + (m - 3)
8) (m²2m)² - 1
9) 9a²+c²+6ac-9
Розв'яжіть рівняння:
1) 3x²-27= 0
2) 5x³-180x = 0
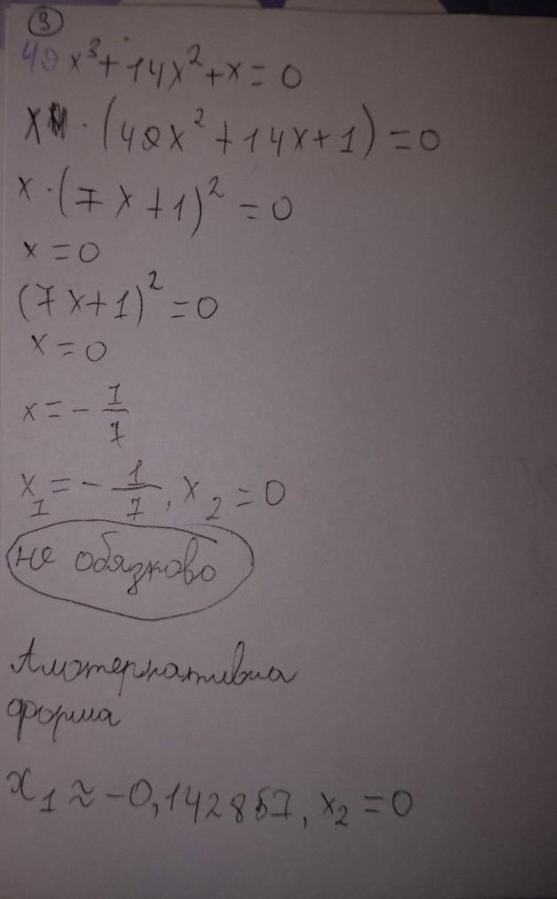
3) 49x³+14x²+x=0;
СРОЧНООО!!!!!!​

Ответы

Ответ дал: glibpantuk
1

Ответ:

Всі відповіді на ваші запитання:

Приложения:

210211jwpranik: большое спасибо
glibpantuk: Немає за що)
Вас заинтересует