• Предмет: Алгебра
  • Автор: paulinasvetlana1
  • Вопрос задан 2 года назад

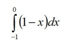
Обчисліть інтеграл.....​

Приложения:

Ответы

Ответ дал: Alnadya
0

Решение.

Вычислить определённый интеграл . Применяем формулу Ньютона-Лейбница .

\bf \displaystyle \int\limits^0_{-1} \, (1-x)\, dx==-\frac{(1-x)^2}{2}\, \Big|_{-1}^0=-\frac{1}{2}\cdot \Big(1^2-2^2\Big)= -\frac{1}{2}\cdot (-3)=\frac{3}{2}=1,5

Вас заинтересует