• Предмет: Алгебра
  • Автор: blauxs
  • Вопрос задан 2 года назад

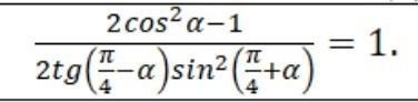
докажите тождество:
(задание на картинке)​

Приложения:

Ответы

Ответ дал: fenix6810
1

Ответ:

Объяснение:

tg(п/4-а)=ctg(п/4+а)

2tg(п/4-а)*sin²(п/4+а)=2сos(п/4+а)*sin²(п/4+а)/sin(п/4+а)=

=2сos(п/4+а)sin(п/4+а)=sin(п/2+2а)=сos2a

2cos²a-1=2cos²a-cos²a-sin²a=cos²a-sin²a=cos2a


blauxs: спасибо огромное!
Вас заинтересует