Ответы
Ответ дал:
0
Объяснение:
....................... вроде так
Приложения:





Ответ дал:
3
Ответ:
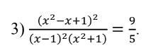
Сразу напишу по каким формулам буду решать:
(a+b+c)²=a²+b²+c³+2ab+2bc+2ac
(a-b)²=a²-2ab+b²
(x⁴+x²+1-2x³+2x²-2x)/(x²-2x+1)*(x²+1)=9/5
приводим подобные...
дальше можно умножить крест накрест
5(x⁴+3x²+1-2x³-2x)=9(x²-2x+1)*(x²+1)
раскрываем скобки, после всех манипуляций получаем это
-4x⁴+8x³-3x²+8x-4=0
-4x⁴+8x³-3x²+6x+2x-4=0
я записал 8x как 6х+2х, ну как бы тоже самое, но облегчает решение
-4x³(x-2)-3x(x-2)+2(x-2)=0
выносим общий множитель
(x-2)(-4x³-3x+2)=0
произведение равно нулю когда один из многочленов равен нулю
x-2=0
-4x³-3x+2=0
x1=2
x2=0,5
если смог помочь, поставь пожалуйста лучший ответ, спасибо
Вас заинтересует
1 год назад
1 год назад
1 год назад
3 года назад
3 года назад