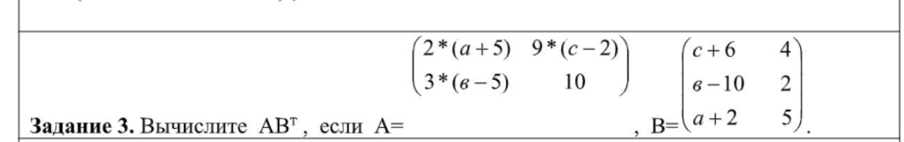
Матрицы. Помогите пожалуйста с решением матриц на фотографии, буду очень благодарна! и если модно, пожалуйста объясните как вы получили тот или иной ответ
Приложения:

Ответы
Ответ дал:
1
вот что я могла найти. Надеюсь помогла
Приложения:

Вас заинтересует
1 год назад
1 год назад
1 год назад
1 год назад
3 года назад
3 года назад
8 лет назад
8 лет назад