• Предмет: Математика
  • Автор: bcfbbffhfhfndb
  • Вопрос задан 2 года назад

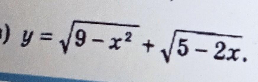
Помогите, пожалуйста. Нужно найти область определения функции ​

Приложения:

Ответы

Ответ дал: yevheniiavz
0

................................................

Приложения:
Вас заинтересует