Ответы
Ответ дал:
2
Ответ:вот
Объяснение:
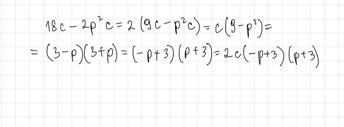
18с-2р²с=
2с(9-р²)=
=2с(3-р)(3+р)
Lyoshkka:
tetamotatetyamotya, помоги пожалуйста у меня задание в профиле за 100 баллов.
Ответ дал:
2
Вот ответ
…..()()()()
…..()()()()
Приложения:

Вас заинтересует
1 год назад
1 год назад
1 год назад
3 года назад
3 года назад
8 лет назад
8 лет назад