• Предмет: Алгебра
  • Автор: Sollarman
  • Вопрос задан 2 года назад

Помогите пожалуйста,тему не понял​

Приложения:

Ответы

Ответ дал: Shilkinn
1

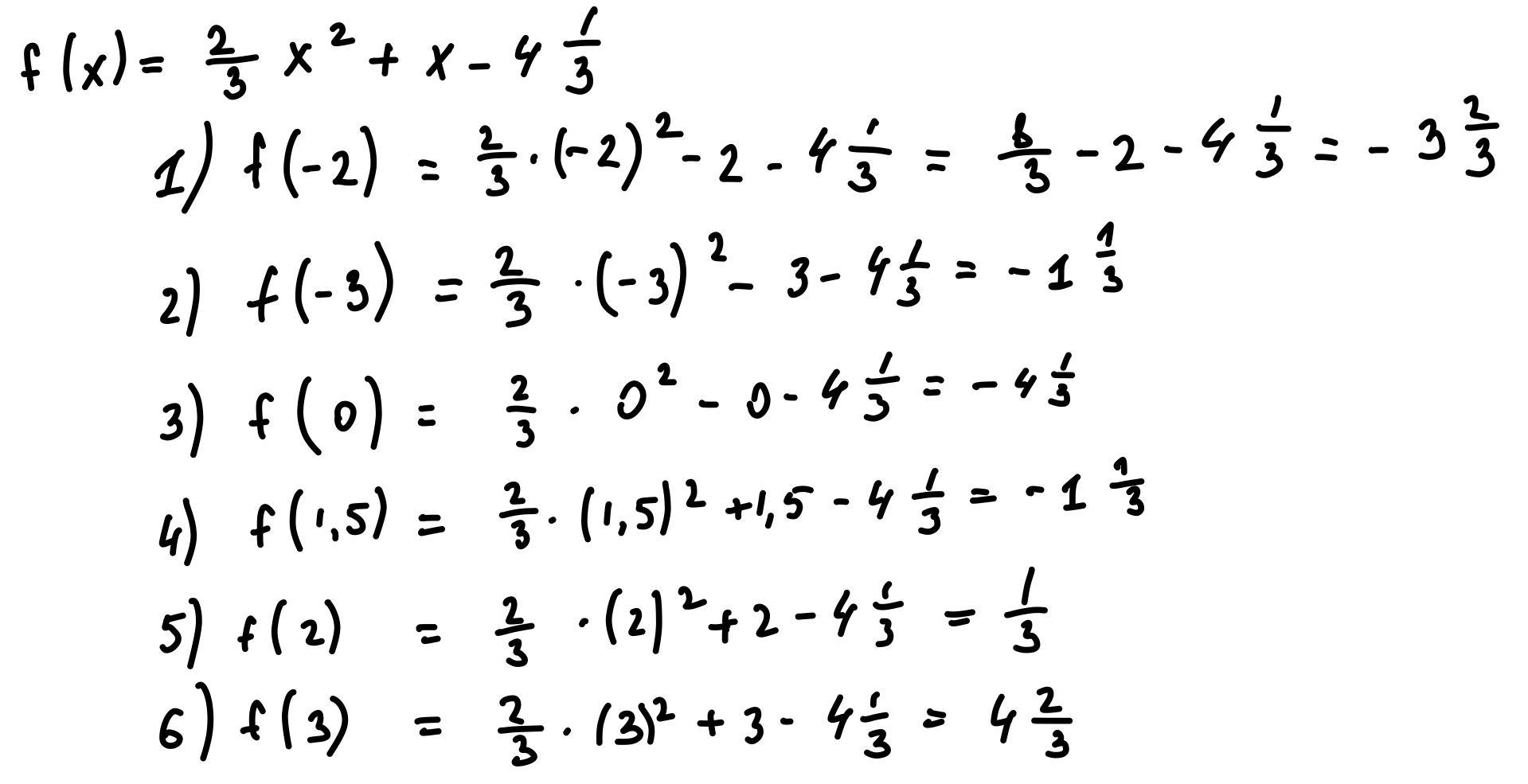
Ордината точки есть f(x), т.е. нужно просто подставить абсциссу (x) в заданную функцию.

Приложения:

Sollarman: Спасибо большое
Sollarman: Спасибо большое
Вас заинтересует