• Предмет: Алгебра
  • Автор: Nekraq
  • Вопрос задан 2 года назад

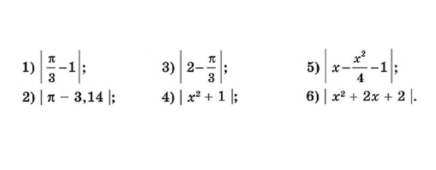
раскройте модуль на картинке

Приложения:

Ответы

Ответ дал: nastya09445
0

π -1. =

3

2) π-3,14

3) 2-π/3

4) ∆х²+1

5) ∆х-х²-1

6) ∆х²+2х+2

Объяснение:

Ответ дал: mariia1314
0
Надеюсь помогла))

………….
Приложения:
Вас заинтересует