• Предмет: Алгебра
  • Автор: dkvasuk10
  • Вопрос задан 2 года назад

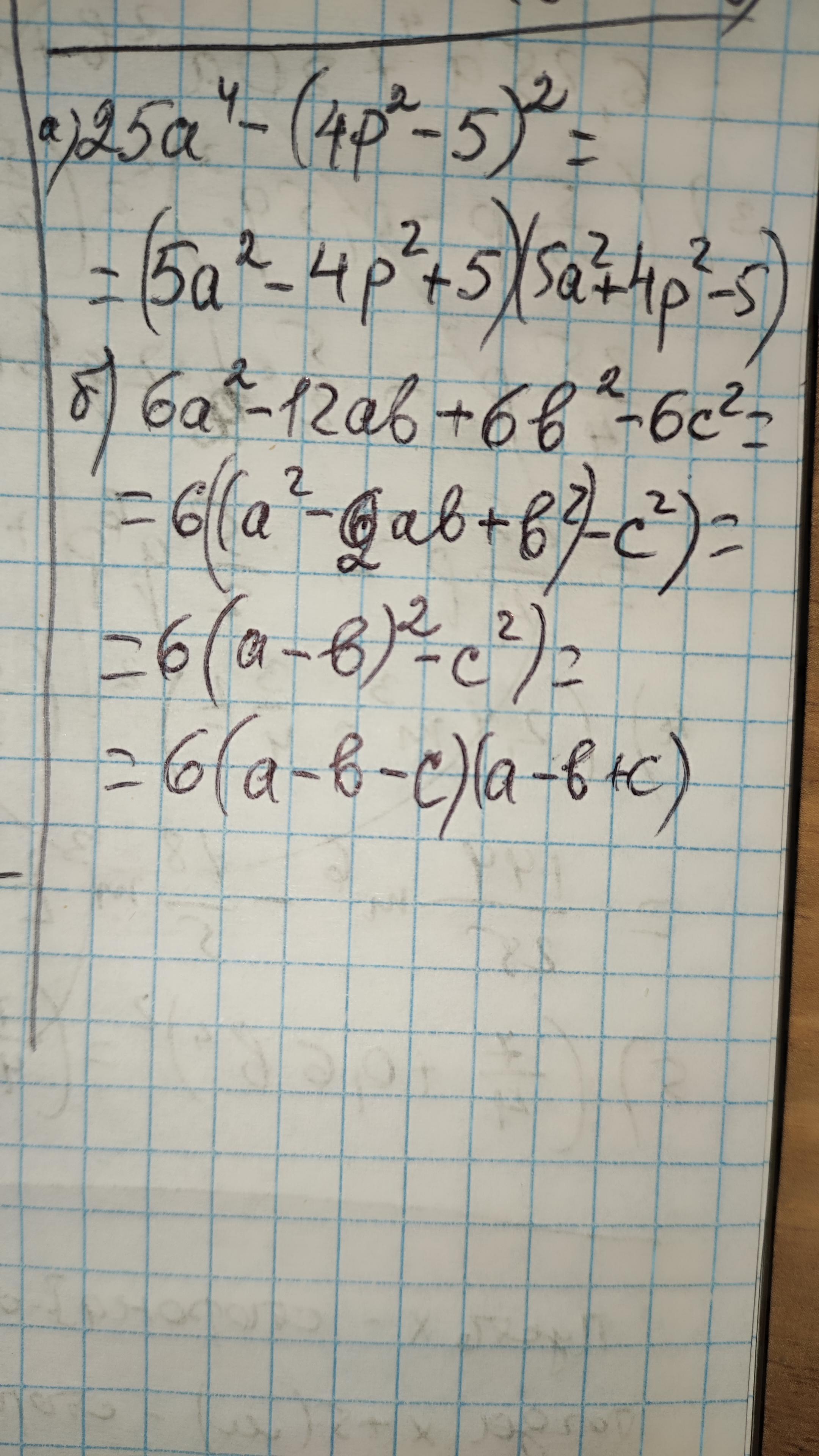
ОЧЕНЬ СРОЧНООООО!!!!!!! Розкладіть на множники:
a)25a⁴-(4p²-5)²;
б)6а²-12ab+6b²-6с²​

Ответы

Ответ дал: tetamotatetyamotya
1

Ответ:вот

Объяснение:

Приложения:
Ответ дал: slava23yasya
1

Відповідь:

Пояснення:

25a⁴-(4p²-5)² = 25a⁴- (16 p⁴-40p²+25) = 25a⁴- 16 p⁴+40p²-25 = (5a²+4p²-5)(5a²-4p²+5)

6а²-12ab+6b²-6с²​ =6 (а²-2ab+b²-с²​) = 6 (a-b-c)(a-b+c)

Вас заинтересует