Ответы
                                            Ответ дал: 
                                                                                    
                                        
                                            
                                                
                                                
                                                
                                                    0
                                                
                                            
                                        
                                    
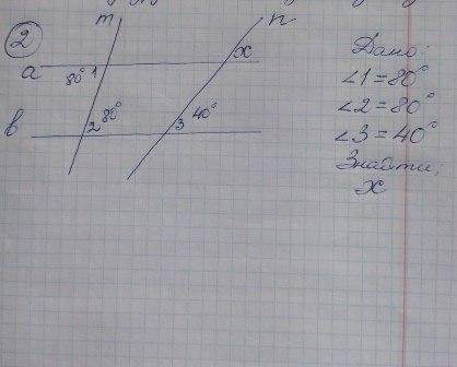
                                         Сума зовнішніх односторонніх кутів дорівнює 180 градусів, тоді х= 180 - 40= 140 градусів 
Відповідь: 140 градусів
                                        
                                        
                                Відповідь: 140 градусів
                                            Ответ дал: 
                                                                                    
                                        
                                            
                                                
                                                
                                                
                                                    1
                                                
                                            
                                        
                                    так как <1=<2 - внутренние накрест лежащие, то прямые a||b
значит x =<3=40° - соответственные
Ответ:40°
                    Аноним:
                    помогите пожалуйста с алгеброй пожалуйста умоляюю
                
            Вас заинтересует
                
                        1 год назад
                    
                
                        1 год назад
                    
                
                        1 год назад
                    
                
                        1 год назад
                    
                
                        3 года назад
                    
                
                        3 года назад
                    
                
                        8 лет назад