• Предмет: Физика
  • Автор: julkakoval366
  • Вопрос задан 2 года назад

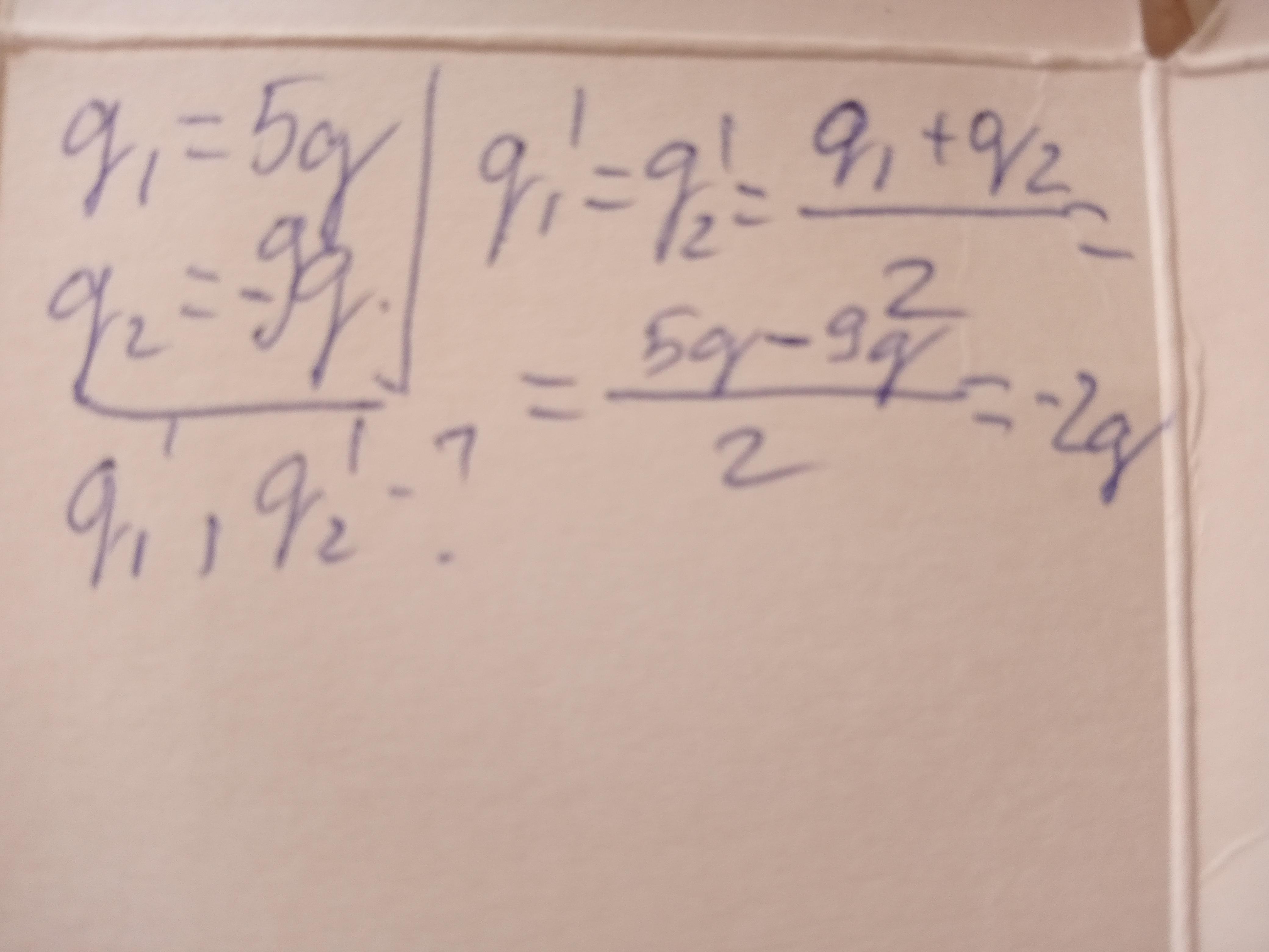
заряд однієї металевої кульки дорівнює 5q,а заряд іншої такої самої кульки дорівнює -9q.Кульки торкнулися одна одної.Який заряд буде в кожної з кульок після того як їх повернути на початкову відстань ​
СРОЧНО!!!!

Ответы

Ответ дал: lvv9136
1

Ответ:

-2q.

Объяснение:

Приложения:

julkakoval366: дякую
Вас заинтересует