• Предмет: Алгебра
  • Автор: vovamih72i
  • Вопрос задан 2 года назад

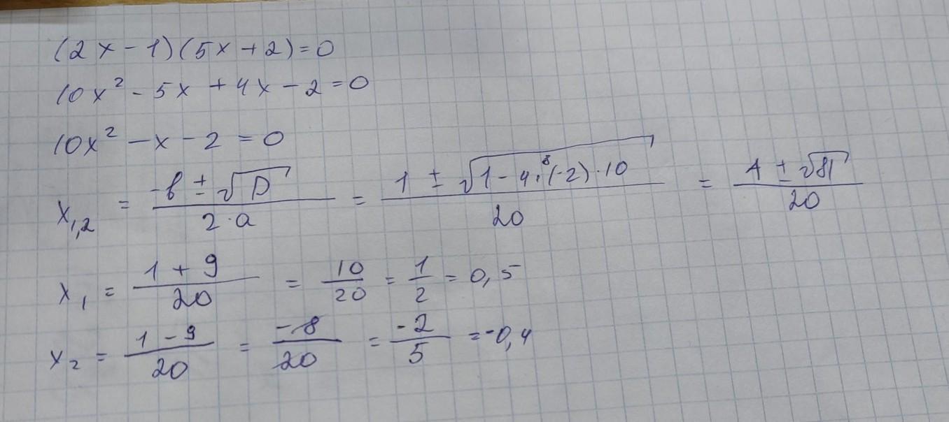
(2x - 1)(5x+2) = 0
Помогите

Ответы

Ответ дал: dsr20061106
2

Ответ:

сделай лучшим пджжжжжжжжж

Приложения:

vovamih72i: а как?
dsr20061106: раскрываешь скобки,решаешь квадратное уравнение.ах²+вх+с=0. 10х²-х-2=0......а=10;в=-1;с=-2.Согласно формуле дискриминанта D=b²-4ac.....и формуле корней х1,2=(-в±корень D)/2.Находим корни и всё
vovamih72i: спасибо!
Вас заинтересует