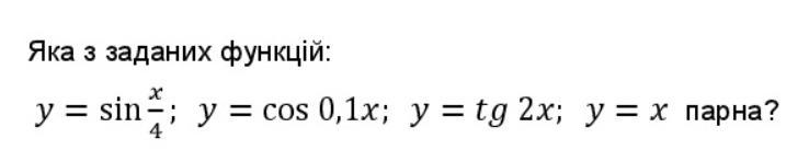
Какая из заданных функций будет парной, фото прикрепил, даю 50 баллов
Приложения:

aarr04594:
У=соs0,1x
Ответы
Ответ дал:
1
Ответ:
Если функция y=f(x) чётна, то выполняется свойство :
Для нечётной функции : .
Проверим функции на чётность . Учтём, что
.
нечётная функция
чётная ф-ция
нечётная функция
нечётная функция
Вас заинтересует
1 год назад
1 год назад
1 год назад
3 года назад
3 года назад
8 лет назад