• Предмет: Математика
  • Автор: Luna4546
  • Вопрос задан 2 года назад

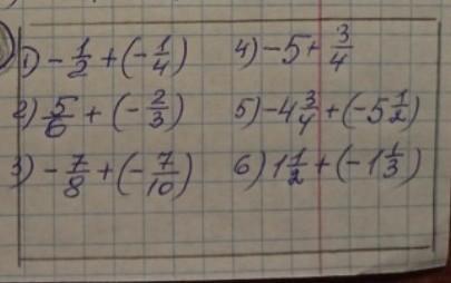
Математика 6 клас допоможіть будь ласка срочно!!!!! на фото. Даю лучшу відповідь і 5 звезди 36 балів.​

Приложения:

fazlyevaidar379: скоро дам ответ, решаю

Ответы

Ответ дал: fazlyevaidar379
1

Привет, решение в фото

Приложения:
Вас заинтересует