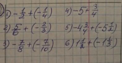
Математика 6 клас допоможіть будь ласка СРОЧНО!!!! на фото. Пж не надо отвечать єсиле незнаете і без приколов. Даю лучшу відповідь і 5 звезди і 36 балів.
Приложения:

Anonim7382:
Чи можу я отримати кращу відповідь? Будь ласка
Ответы
Ответ дал:
1
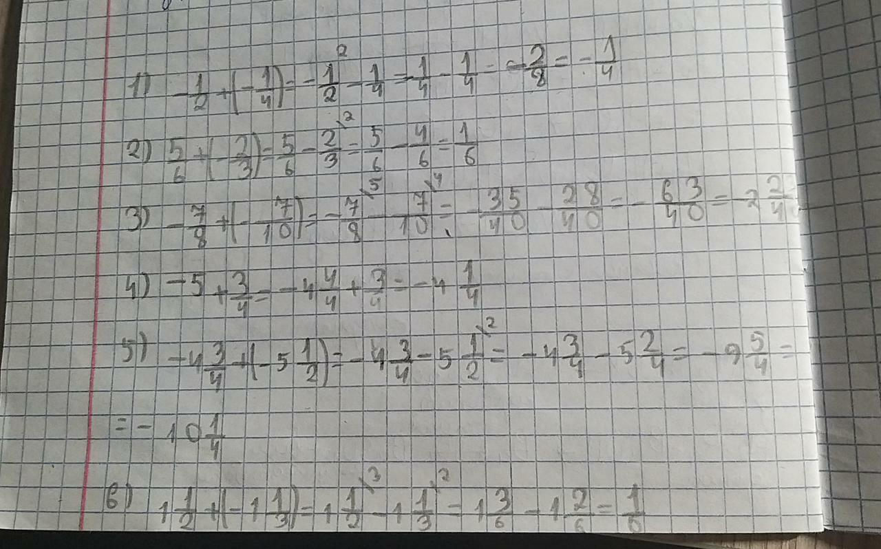
Ответ:
Вот
Пошаговое объяснение:
Приложения:

Вас заинтересует
1 год назад
1 год назад
1 год назад
3 года назад
3 года назад