Ответы
Ответ дал:
1
Ответ:
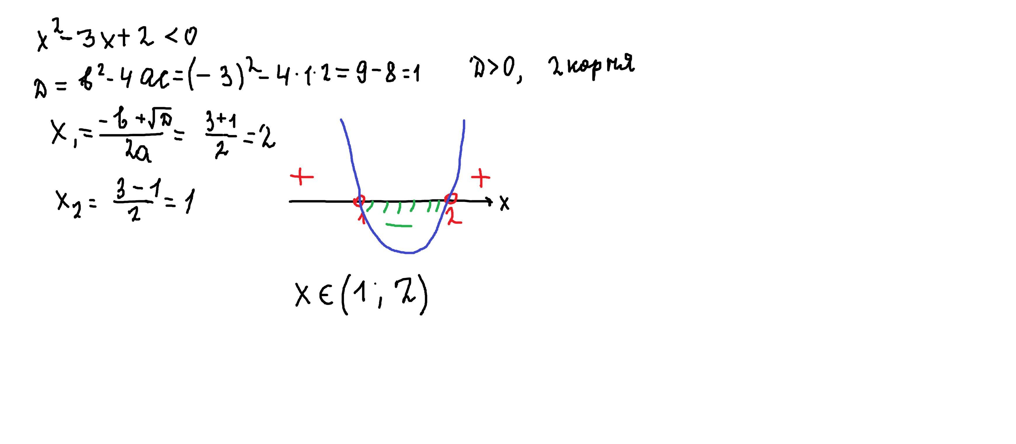
х∈(1;2)
Объяснение:
найдем корни этого трехчлена,найдем дискриминант,он больше 0,поэтому 2 корня,т.е 2 точки пересечения с осью ОХ.
отметим их на прямой и схематично начертим параболу,т.к. а>0,то ветви параболы направлены вверх.Т.к наше неравенство меньше 0,то мы выписываем тот промежуток,где парабола лежит ниже оси ОХ,это промежуток (1;2).т.к неравенство строгое,то точки не закрашены и скобки в ответе круглые.
Приложения:

Вас заинтересует
1 год назад
1 год назад
1 год назад
1 год назад
3 года назад
8 лет назад
8 лет назад