помогитк срочно даю все баллы
задачу 10 и 13
Приложения:

Warlock1:
что надо найти и дано ли что это параллелограммы?
Ответы
Ответ дал:
2
Ответ:
Объяснение:
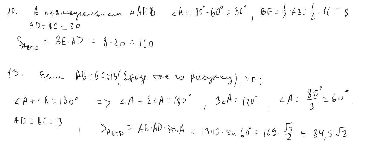
Если даны параллелограммы, то так.
Приложения:

Вас заинтересует
1 год назад
1 год назад
1 год назад
3 года назад
3 года назад
8 лет назад