• Предмет: Алгебра
  • Автор: dashkxw
  • Вопрос задан 2 года назад

допоможіть будь ласка
(4-3y) (4+3y) + 18y²​

Ответы

Ответ дал: tivimaks717
1

Ответ:

(4-3y) (4+3y)+18y²=16+12y-12-9y²+18y²=4+12y+9y


dashkxw: дякую котик якщо правильно дам зірку
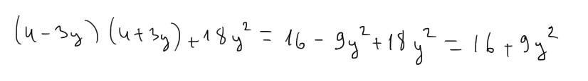
Ответ дал: Warlock1
1

Ответ:

так

Объяснение:

Приложения:

dashkxw: ойй дякую ♡
Вас заинтересует