• Предмет: Математика
  • Автор: katie6668k
  • Вопрос задан 2 года назад

Помогите пожалуйста!!!

Приложения:

Ответы

Ответ дал: lutvun01021986
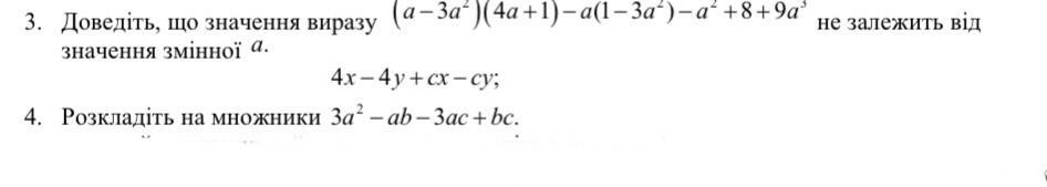
1

Ответ:

Завд.4.

1) (4+c)+(x-y)

2) (3a-3c)-(a-b)

Пояснення:

1)4x-4y+cx-cy=4(x-y)+c(x-y)=(4+c)+(x-y)

2)3a²-ab-3ac+bc=3a(a-b)-3c(a-b)=(3a-3c)-(a-b)

Завд.3.

(a-3a²)(4a+1)-a(1-3a²)-a²+8+9a²=4a²+a-12a³-3a²-a+3a³-a²+8+9a³=8.

(потім все скорочується крім 8)

Вас заинтересует