• Предмет: Математика
  • Автор: katie6668k
  • Вопрос задан 2 года назад

ПОМОГИТЕ ПОЖАЛУЙСТА!!!

Приложения:

Ответы

Ответ дал: dizty
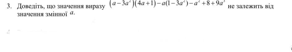
1

(a - 3a²) (4a + 1) - a(1 - 3a²) - a² + 8 + 9 a³ = 4a² + a - 12a³ - 3a² - a + 3a³ - a² + 9a³  = 8.

Оскільки у результаті немає змінної, він від неї не залежить.

Ответ дал: iramazurk
1

Пошаговое объяснение:

(а - 3а²)(4а + 1) - а(1 - 3а²) - а² + 8 + 9а³ =

4а² + а - 12а³ - 3а² - а + 3а³ - а² + 8 + 9а³ =

(-12а³ + 3а³ + 9а³) + (4а² - 3а² - а²) + (а - а) + 8 =

0 + 0 + 0 + 8 = 8

Значение выражения не зависит от переменной а, так как они самоуничтожаются

Вас заинтересует