• Предмет: Алгебра
  • Автор: igrypo75
  • Вопрос задан 2 года назад

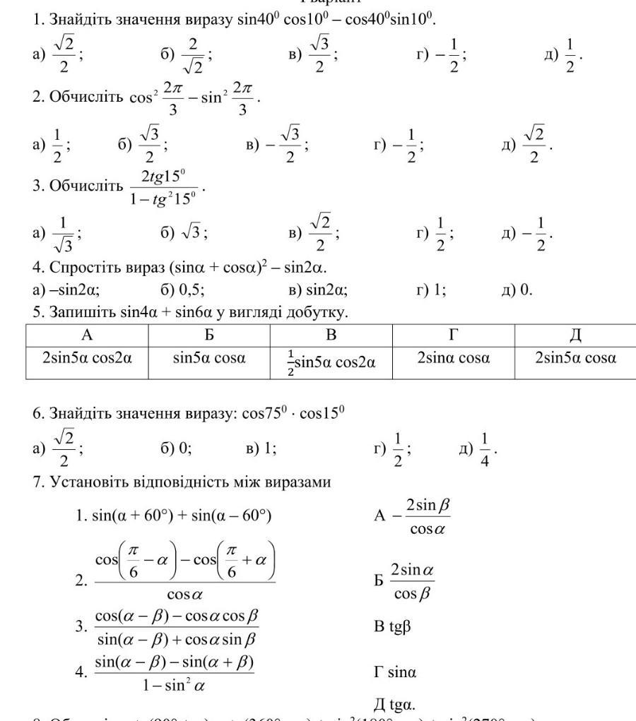
алгебра даю 60 балов ​

Приложения:

Ответы

Ответ дал: aooisima
1

Ответ:

1) Д, 2) Г, 3) Б, 4)А, 5)Д, 6)Д, 7) 1 - Г, 2 - Д, 3 - В, 4 - А

Вас заинтересует