• Предмет: Геометрия
  • Автор: Street256
  • Вопрос задан 10 лет назад

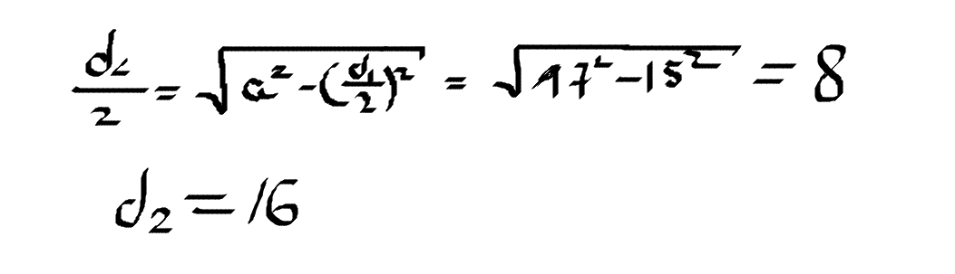
Сторона ромба равна 17 см, а одна из его диагоналей равна 30 см. Найдите вторую диагональ.           Заранее спасибо) 

Ответы

Ответ дал: Аноним
0
..........................................
Приложения:
Вас заинтересует