• Предмет: Алгебра
  • Автор: gafarivitalik
  • Вопрос задан 2 года назад

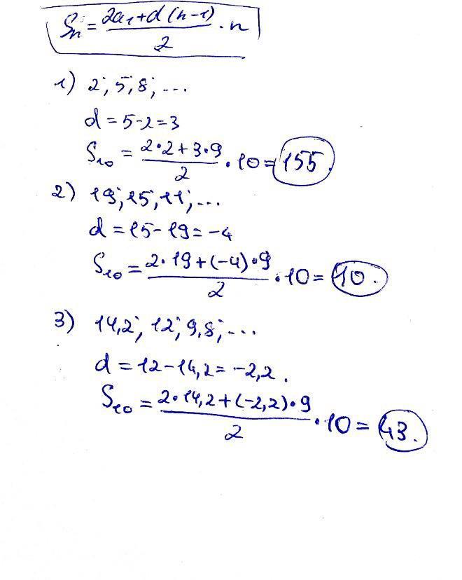
знайдіть суму 10 перших членів арифметичної прогресії
2;5;8...
19;15;11...
-17;-12;-7...
14,2; 12;9,8...

Ответы

Ответ дал: yevheniiavz
0

дивіться фото..........................

Приложения:
Вас заинтересует