• Предмет: Алгебра
  • Автор: russuangelina1407
  • Вопрос задан 2 года назад

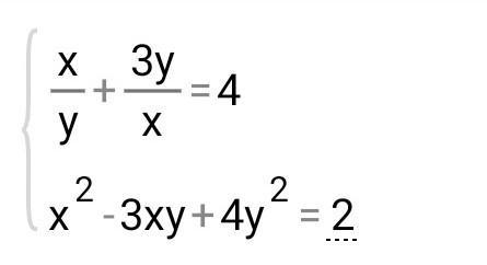
помогите пожалуйста...​

Приложения:

Ответы

Ответ дал: ukraineana04
1

Ответ:

Объяснение:

y

=

x

,

x

3

,

y

=

3

x

+

7

x

2

+

32

8

,

3

x

7

x

2

+

32

8

Вас заинтересует