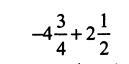
всім привіт! підскажіть будь ласка у прикладі віповідь буде-2 1/4?
Приложения:

nybakaev:
а все я увидел ошибку
Ответы
Ответ дал:
0
Ответ:
-2 ¹/₄
Пошаговое объяснение:
1. Переведемо у неправильні дроби:
-4 ³/₄ = -¹⁹/₄
2 ¹/₂ = ⁵/₂
2. Зведемо до спільного знаменника 4:
⁵/₂ * 2 = ¹⁰/₄
3. Додамо:
-¹⁹/₄ + ¹⁰/₄ = -⁹/₄
4. Переведемо у правильний дріб:
-⁹/₄ = -2 ¹/₄
Ответ дал:
0
Ответ: Так, відповідь буде: . Тому що:
Если не сложно, поставь "Лучший". Буду благодарен
Вас заинтересует
1 год назад
1 год назад
1 год назад
8 лет назад