• Предмет: Математика
  • Автор: inkurzmyh
  • Вопрос задан 2 года назад

СРОЧНО , ПОЖАЛУЙСТА РЕШИТЕ С ОБЪЯСНЕНИЕМ !!! ДАЮ 25 БАЛЛОВ!

Приложения:

Ответы

Ответ дал: nika2670
1

Ответ:

ответ на фото думаю помогла

Приложения:

inkurzmyh: ответ самій нижний?
inkurzmyh: самый*
Ответ дал: ilkinsalimov
1

Ответ:

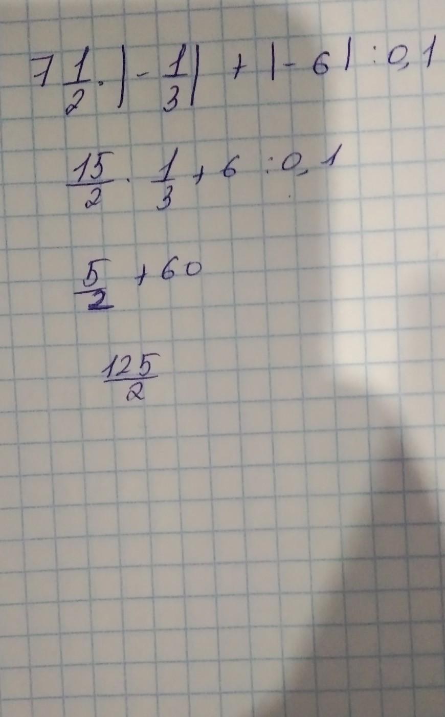
62.5

Пошаговое объяснение:

1.представить смешанную дробь в виде неправильной дроби, будет 15/2.

2. Абсолютное значение любого числа всегда положительно. Раскрываем модули.

15/2•1/3+6:0.1= 5/2+60= 125/2 или 62½ или 62.5

Поставь 5 звёзд пожалуйста


inkurzmyh: а можно точный ответ?
ilkinsalimov: они все точные, смотря как учителю нравится
Вас заинтересует