• Предмет: Математика
  • Автор: superdiana8245
  • Вопрос задан 2 года назад

СРОЧНО!!¡!!!!!! ДАЮ 20 БАЛОВ​

Приложения:

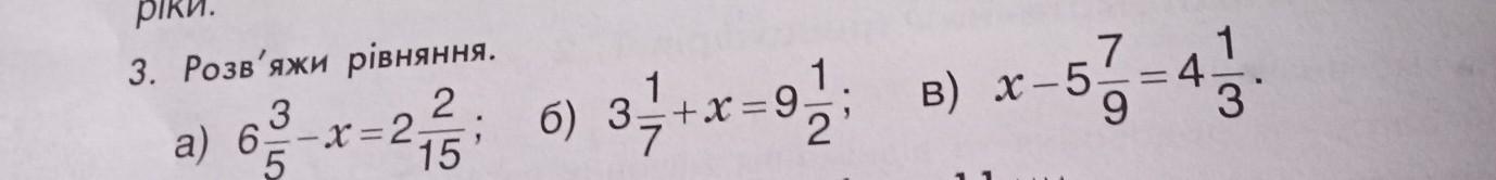
fufynomore: А) 67 Б) 89 В) 91
— — —
15 14 9

Ответы

Ответ дал: aitakhmetovalan
1

Ответ:

вот ответ.....................

Приложения:

superdiana8245: проходить видно
superdiana8245: плохо видно
aitakhmetovalan: решил
superdiana8245: скинь пж
superdiana8245: спасибо большое
aitakhmetovalan: что скинь
Ответ дал: Dostogogol
1

Ответ:

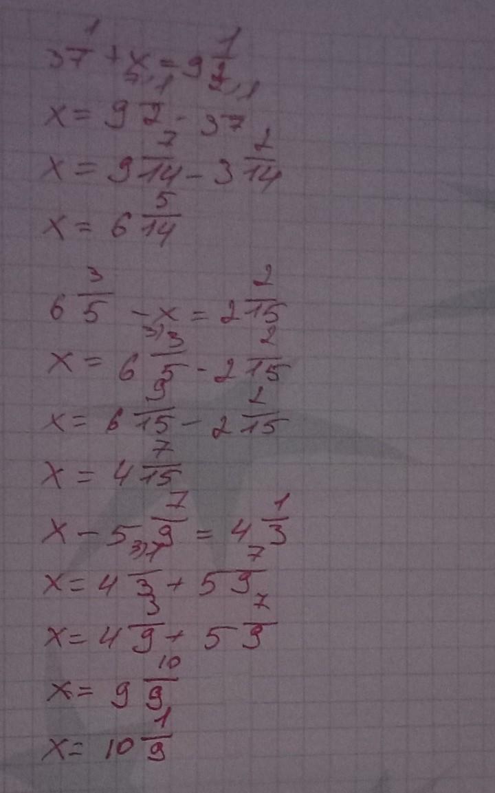
ответ : 6 5/14 , 4 7/15 ,10 1/9

Приложения:

superdiana8245: ты где ето увидел
superdiana8245: ой прости не туда написала
superdiana8245: а остальное решение где?
Dostogogol: ох, извиняюсь не увидела еще 2
Dostogogol: вот все 3 каторые были
superdiana8245: а можешь ещё в скинуть пж
superdiana8245: ну последнее решение скинуть сможешь
aitakhmetovalan: щя решаю 2
superdiana8245: спасибо
Вас заинтересует