• Предмет: Математика
  • Автор: mituk241988
  • Вопрос задан 2 года назад

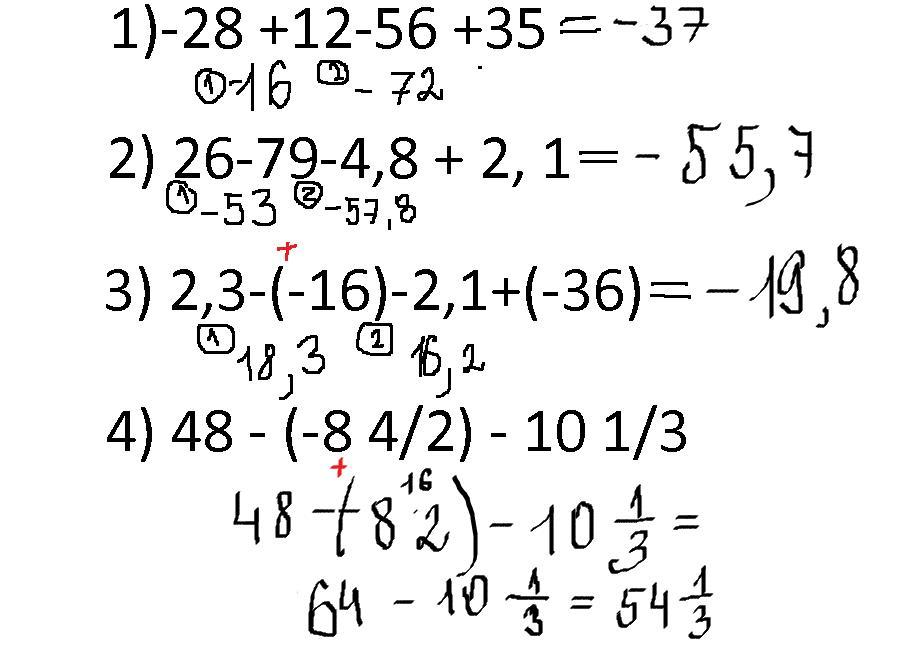
Обчисліть
1)-28 +12-56 +35
(2) 26-79-4,8 + 2, 1
3) 2,3-(-16)-2,1+(-36)
4) 48 - (-8 4/2) - 10 1/3​

Ответы

Ответ дал: E123e
1

Ответ:

1. -37

2.-55,7

3. -19,8

4. (54. 1/3)

Пошаговое объяснение:

на фото

Приложения:
Вас заинтересует