-8+5 3/25+(-3/4)
Помогите прошу!
Аноним:
привіт, напиши мені в інсту, кину відповідь, annacosovska, я з зеленою авою
Ответы
Ответ дал:
1
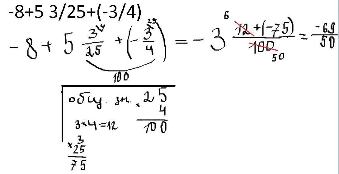
Ответ:
Пошаговое объяснение:
на фото))
Приложения:

Вас заинтересует
1 год назад
1 год назад
1 год назад
3 года назад
8 лет назад