• Предмет: Алгебра
  • Автор: presledovatelistiny
  • Вопрос задан 2 года назад

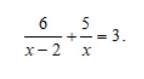
Решить уравнение 10б​

Приложения:

Ответы

Ответ дал: himikinako
0

17х-10-3х²=0

-3х²+17х-10=0

3х²-17х+10=0

х×(3х-2)-5(3х-2)=0

3х-2=0

0-5=0

х¹=2/3

х²=5


cat14516: Здравствуйте,помогите пожалуйста с алгеброй !
Вас заинтересует