• Предмет: Алгебра
  • Автор: vmmaksim357
  • Вопрос задан 2 года назад

СРОЧНО!!!!
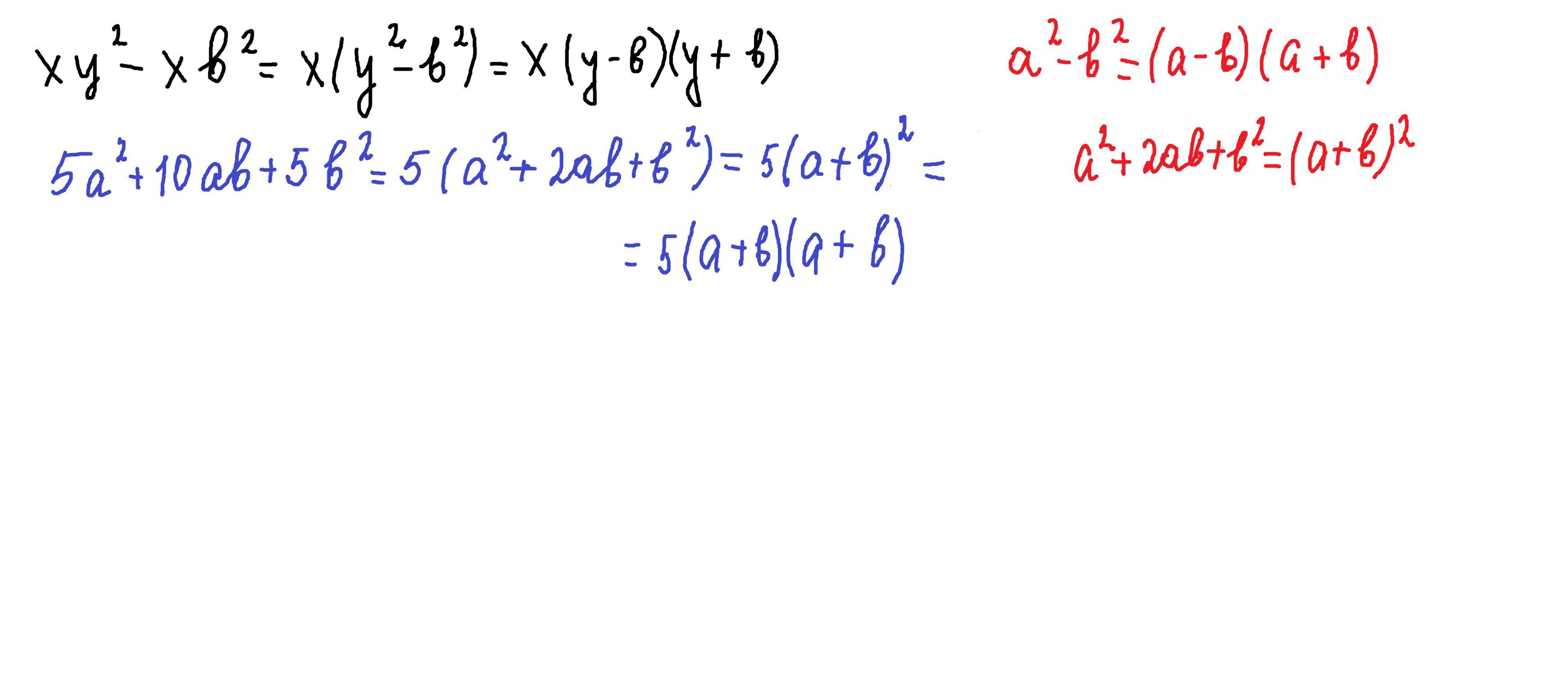
Розкладіть многочлен на множники
1) xy^2-xb^2 2) 5a^2+10ab+5b^2

Ответы

Ответ дал: parus77
1

Ответ:

Объяснение:

решение и формулы к нему внизу

Приложения:
Вас заинтересует