• Предмет: Математика
  • Автор: edeev563
  • Вопрос задан 2 года назад

Помогите пожалуйста
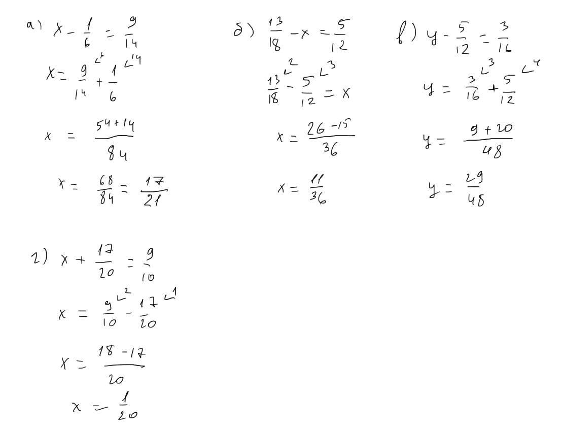
а)х - 1/6 = 9/14 б)13/18 - х = 5/12
в)у - 5/12 = 3/16 г)х + 17/20 = 9/10

Ответы

Ответ дал: notcoolkid
1

Пошаговое объяснение:

а) x= 17/21

б) x= 11/36

в) у= 29/48

г) х= 1/20

Ответ дал: Warlock1
1

Ответ:

так

Пошаговое объяснение:

Приложения:
Вас заинтересует