Ответы
Ответ дал:
1
Ответ:вот
Объяснение:
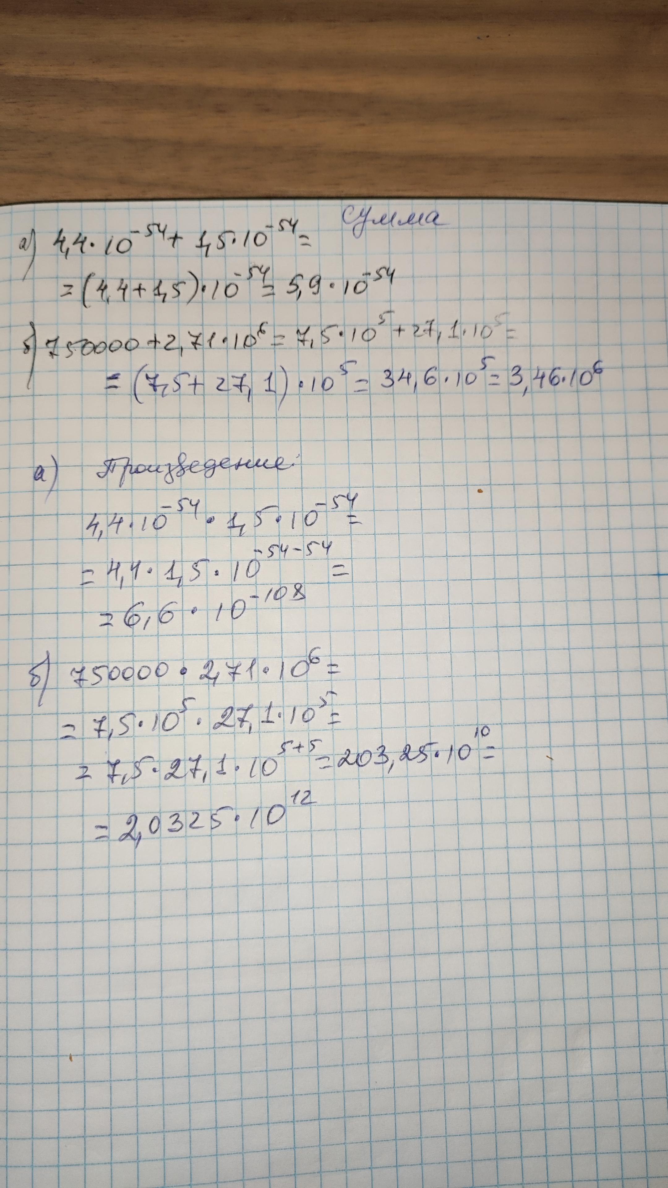
Приложения:

igorabdulovich:
спасибо большое бро реально выручил
Вас заинтересует
1 год назад
1 год назад
1 год назад
3 года назад
3 года назад
8 лет назад