• Предмет: Геометрия
  • Автор: movcanvlad8
  • Вопрос задан 2 года назад

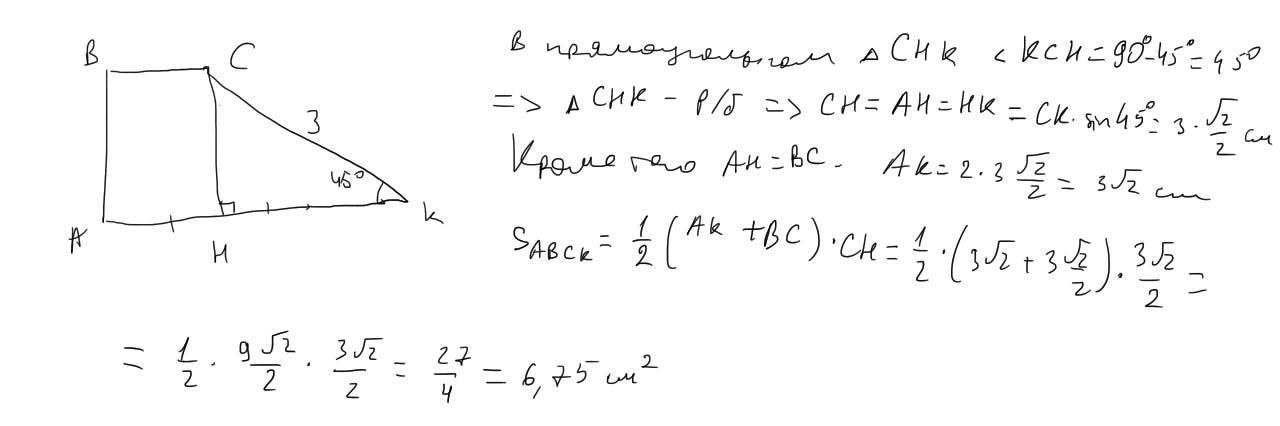
В прямоугольной трапеции ABCK большая боковая сторона равна 3см, угол K равен 45°, а высота CH делит основание AK пополам. Найдите площадь трапеции.( пожалуйста подробно по действиям с рисунком)​

Ответы

Ответ дал: Warlock1
2

Ответ:

6,75

Объяснение:

Приложения:

movcanvlad8: бро, можешь вторую строчку написать текстом, я некоторые символы разобрать не могу
Warlock1: если б я мог, я б печатными буквами писал) просто меня вымораживает всякие корни дроби и т.д. писать печатными
Warlock1: треугольник СНК - р/б, СН=АН=НК=СК*sin45
movcanvlad8: спасибо большое, жаль мне не подойдёт ТК минус ещё не прошли
movcanvlad8: синус*
movcanvlad8: его ничем нельзя заменить случаем?
Warlock1: как-то криво комментарии отображаются... ну если не через синус, то через пифагора. его-то проходили же?
Аноним: Здравствуйте. вы не могли бы мне помочь Завтра с геометрия пожалуйста умоляюю
Вас заинтересует